The advantages of Joel’s approach surfaced in the second semester of the first year I taught a mechanistically organized course while using Joel’s manuscript instead of a traditional textbook. Student experience on exams demonstrated to me three points: I had unwittingly expected students to memorize organic chemistry instead of think mechanistically; the focus on mechanisms can help a borderlines student succeed in the course; and the mechanisms approach can help a talented student think in ways I had not previously thought possible.
The second exam I gave in Organic II that semester covered addition-elimination reactions, and one portion of the exam had 17 examples of “ABC problems.” These are fairly standard questions on organic exams; students generally have A and B and are asked to provide C:
One of the better students in the class, Charlie, commented about that particular section, saying, “That was an awful lot of mechanisms.”
Up to the time of that comment, I would have vehemently denied that I wanted students to memorize organic chemistry. However, Charlie’s comment made me recognize that I had expected students to have the ability to predict products from reactants quickly—that I was essentially asking them to memorize reactions so they could complete ABC problems quickly. I had not, in reality, expected them to approach these problems mechanistically. Clearly, there was an inconsistency in my expectations for students, that I held a hidden “expectation of memorization.”
On the same portion of that exam, I noticed the work of a student I’ll call “Joe.” Joe was an average student. He had earned a “C” and a “B” in General Chemistry I & II and had barely passed Organic I with a “C”. Both my colleague at Jefferson Community and Technical College and I have observed that students who get “C’s” in Organic I frequently don’t pass Organic II. Joe had scored a “D” on the first exam in Organic II, and I was concerned that he was not going to make it through the course. During the exam, I looked over his shoulder as he completed this problem:
Historically, I would not have predicted that Joe would have much success with this particular problem due to its complexity. However, I was watching him draw the mechanism for the decarboxylation of the alkylated malonic acid in the last step. I thought, “Wow. Way to go, Joe.”
Joe passed the exam and scored “B’s” on subsequent exams. He made it through the course and went on to pursue a four-year degree in chemistry at another institution.
I found this result exceptionally encouraging.
Let’s return to Charlie. He was, granted, an exceptional student. However, he did make an error in answering an exam question—an error that was most informative.
At the end of Organic II, I gave a two-part final. The second part was experimental and open-book. It also did not contribute significantly to students’ final grades. I had done some research on the Grignard reaction that semester and composed the following question:
In his original communication about organomagnesium compounds, Victor Grignard noted that “with aliphatic halogen esters the results have always been excellent; they are much poorer with benzyl bromide due to the relatively abundant formation of bibenzyl.”
Provide an explanation and a mechanism for Grignard’s observation in the second part of the sentence.
This question challenged students to recognize that a Grignard reagent had participated in an SN2 reaction. They had not seen this type of reaction before. The correct answer, which the majority of students obtained, was straightforward:
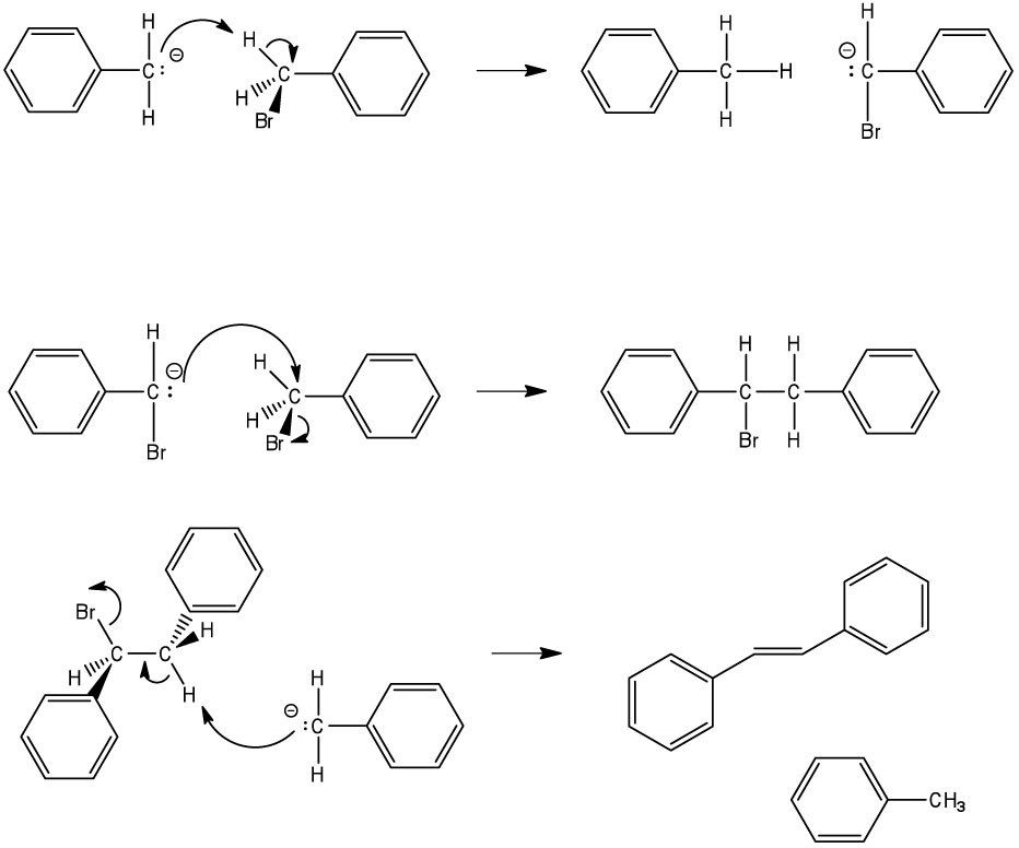
However, Charlie identified the name “bibenzyl” with the structure of stilbene:
He provided the following mechanism as his answer:
Charlie’s answer used steps that are quite reasonable. He showed creativity that I had never seen (or expected to see) in my students. I believe Charlie could do this because he had been regularly challenged to consider the mechanistic aspects of organic reactions.
A final note: Charlie’s work led Joel to search the literature and to find work that reported stilbene as a minor product of the reaction of benzyl bromide and magnesium.1 Charlie joined the ranks of those who can say, “As was our thinking, so was the chemistry.”
— Steve Pruett
1“Flash vacuum pyrolysis over magnesium. Part 1. Pyrolysis of benzylic, other aryl/alkyl and aliphatic halides.” Aitken, R. Alan et al. Journal of the Chemical Society, Perkin Transactions 1, (3), 402-415, 2002.
The product distribution shown is 69% bibenzyl, 20% toluene, and 2% stilbene.




This ifo is invaluable. Where ccan I find out more?